Револуција: Нов лек против дијабетес без имуносупресија
Научници успеаја првпат да трансплантираат генетски модифицирани бета-клетки кои преживуваат без имуносупресија. Овој пробив носи надеж за целосно излекување од дијабетес тип 1.
🔬Науката испиша историја!
Медицината е сведок на нешто што до вчера изгледаше невозможно. За прв пат, научници успеаја да направат трансплантација на алогени бета-клетки кај човек, кои не само што преживеале – туку почнале и да продуцираат инсулин – без ниту една таблета имуносупресивни лекови.
Ова откритие, објавено во престижното списание New England Journal of Medicine, може да ја смени судбината на милиони пациенти со дијабетес тип 1.
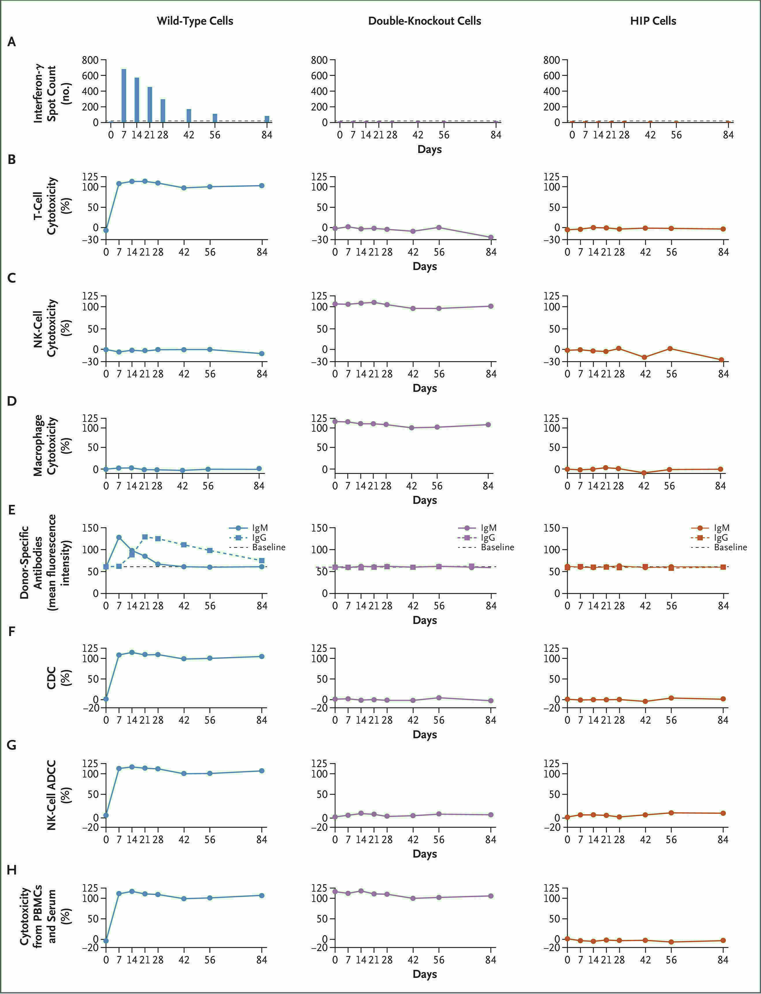
⚡ Што е направено?
Истражувачите користеле CRISPR-Cas12b технологија за да ги избришат гените одговорни за одбивање на трансплантирани клетки. Со тоа, донорските клетки станаа „невидливи“ за имуниот систем.
Дополнително, е вграден протеинот CD47, кој служи како „штит“ од напад на макрофаги и NK клетки. Така е создаден клиничкиот производ UP421 – бета-клетки кои се речиси отпорни на имунолошкиот напад.
🧪 Прв клинички случај – и неверојатни резултати
Пациент на возраст од 42 години со повеќе од 35 години историја на дијабетес тип 1 добил 17 инјекции од модифицирани бета-клетки во мускулот на раката.

- По 4 недели: се појавил C-пептид – знак дека организмот повторно почнува да создава сопствен инсулин.
- По 12 недели: клетките биле живи и активни, потврдено со PET-MRI снимања.

- HbA1c се намалил за 42% – драматично подобрување на шеќерот во крвта.
- Најважно: немало никаков имунолошки напад, без имуносупресија, без инфекции, без сериозни несакани ефекти.
🌍 Зошто ова е голем чекор напред?
Ова е првиот јасен доказ дека е можно функционално лекување на дијабетес тип 1 – не со доживотно инјектирање инсулин и токсични лекови, туку со обнова на уништените бета-клетки.
Ваквата стратегија може да биде патот кон вистинско излекување, и да отвори врата кон масовна терапија за милиони луѓе во светот.
🎯 Заклучок
Она што започна како научна хипотеза, денес е реалност. Генетски модифицирани бета-клетки веќе покажаа дека можат да преживеат без имуносупресија.
Следниот чекор е масовна примена, која би можела да ја промени историјата на човештвото и медицината исто како откритието на инсулинот пред еден век.
👉 Дијабетесот можеби конечно доби свој најсилен противник – и тоа без игли, без лекови, без компромиси.










